Math Games > Math Puzzles > Magic Squares
Magic squares game
Play magic squares game online. Solve magic squares puzzles online. Download Magic square Worksheets in PDF for offline practice. They contain four magic squares 3x3 per page, with answers on a separate page.
Fill in the blanks so that the numbers in each row, column and diagonal adds up to the same amount in the magic square puzzle. SEE WORKSHEETS »
Magic squares game ONLINE
Play magic squares game online: Fill in the missing numbers so that the sum of the numbers in each row, each column, and both main diagonals is the same constant, known as the magic constant or magic sum. Every little square is gonna have an unique value.
Magic squares puzzles with answers
Press "Check it" to find out if the magic squares puzzle is filled in correctly. The correct answers will be green, wrong results will be red. Press the button "New game" and the new magic squares online game will be generated. ✨
Printable magic squares worksheets PDF
Download printable magic squares in PDF. Everytime a new free magic squares worksheet is generated. The first page contains four magic sguares 3x3, the second page contains answers. The magic constants range from 15 to 100.
Click the image below and download the free printable magic squares puzzles in PDF:
Magic squares 3x3
The magic constant value ranges from 15-100 in these addition squares puzzles.
Generate a new PDF
Classic magic squares
The magic constant is 15: magic square is using numbers 1–9, each must appear exactly once.
Generate a new PDF
On these free magic squares worksheets, you'll find 4 magic squares puzzles - enough to keep children entertained for a while as they master this fun tasks. You can find more free printable addition worksheets here and subtraction worksheets here.
Magic squares puzzles with answers
These magic squares puzzles enhance not just addition and subtraction, but also problem-solving skills and prepare children for approaching more difficult equations later in their learning journey.
In order to solve these addition squares puzzles, we assume that children already can add and subtract within 100. For practicing addition to 100 check out these addition flash cards or 2 digit addition games, for subtraction up to 100 check out these subtraction flash cards or these 2 digit subtraction games.
You can also try these number crossword puzzles, which also combine addition and subtraction tasks.
What are magic squares 3x3
A math magic square is a square array of consecutive numbers in which the numbers in each row, column, and diagonal add up to the same number: the magic constant. Every little square is gonna have an unique value, it means that these values will not show up again.
Math magic squares
According to Wikipedia a magic square meets following conditions:
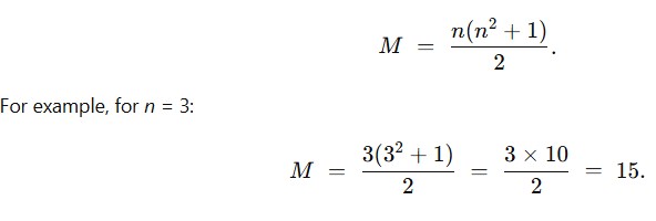
- An n × n magic square is an arrangement of the integers from 1 to _n_² in an n by n grid so that every row, every column, and the two main diagonals all add up to the same total. This total, M, can be shown to be:
- The unique (up to rotations and reflections) 3 × 3 magic square using 1–9 is called the Lo Shu square from ancient Chinese lore.
- In the standard magic‐square definition, each of the numbers 1 through _n_² must appear exactly once. That’s what lets you derive the magic constant.
- Is it a magic square if it is 3x3 and the magic constant is greater than 15? No, under the standard definition of a normal 3×3 magic square, you must use the numbers 1 through 9 exactly once, otherwise it is normal addition square.
Integer magic squares generator
Our magic squares game generate magic squares 3x3. You can choose the range of the magic constant: the range from 15 to 50 is pefect for kids on the first and second grade, the range from 51 to 100 is designed for kids in the second and third grade.
Magic squares ONLINE game
How to solve math magic squares with missing numbers? Start to solve the magic squares game with the rows (or columns or diagonals) that have the most numbers filled in, and think about what number is needed to reach the target magic constant.
Solving magic squares 3x3
Usually, children must first add 2 given numbers and subtract the result from the magic constant. And continue in this way until the magic square puzzle is completely filled.
Magic number squares
Once you have filled in all the numbers in the magic square puzzle, check that the numbers in each row, column, and diagonal do indeed add up to the same number. If the numbers do not add up to the same number, you may need to backtrack and try different numbers in the square until you find a solution.
Category:
Math puzzles
Addition Games
Subtraction Games
2nd grade math games



